• Предмет: Математика
  • Автор: Netreno1
  • Вопрос задан 11 лет назад

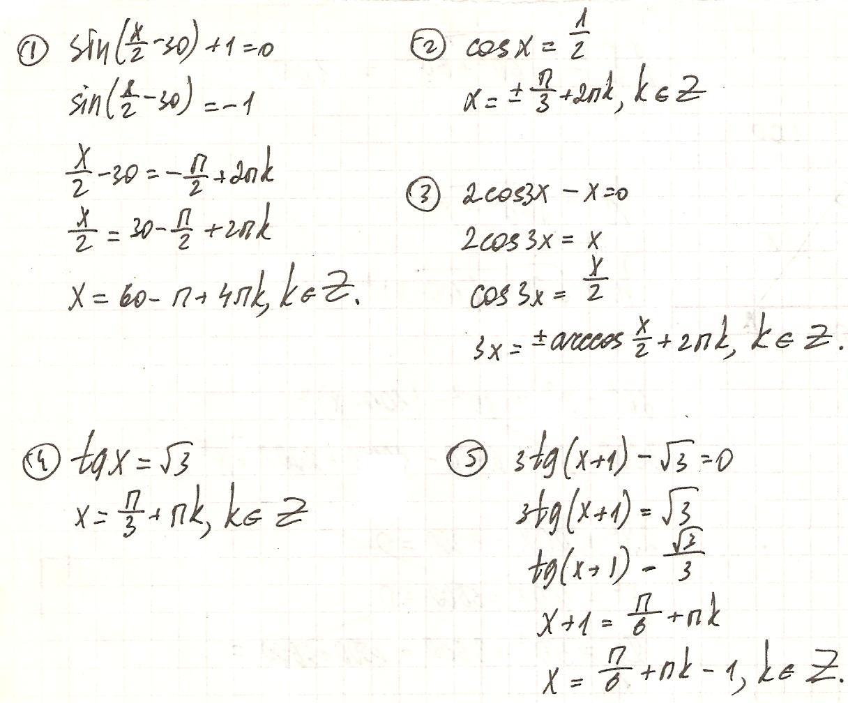
Помогите решить 1)sin(x/2-30)+1=0

2)cos X=1/2

3)2cos 3X - X=0

4)tg X=корень из 3

5)3tg(x+1) - корень из 3=0

 

решите пожайлуста хотябы то что знаете

Ответы

Ответ дал: Artem112
0

надеюсь будет понятно...

Приложения:
Вас заинтересует