• Предмет: Математика
  • Автор: cococore
  • Вопрос задан 11 лет назад

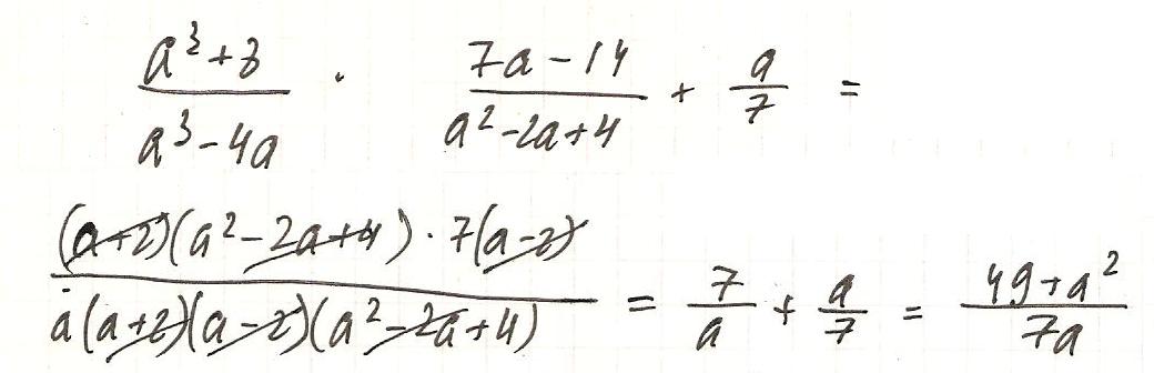
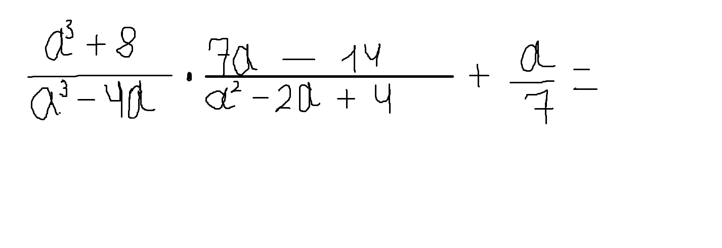
Помогите решить пример:

Приложения:

Ответы

Ответ дал: Artem112
0

смотрим на картинку, только это называется не решить пример, а упростить выражение...

Приложения:
Вас заинтересует