Ответы
Ответ дал:
0
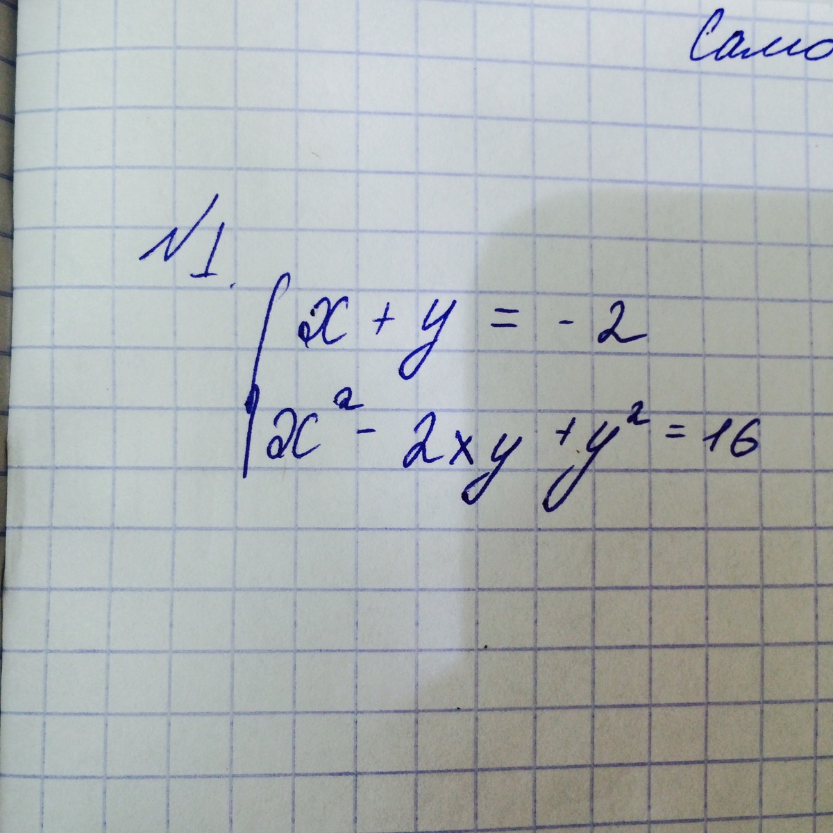
х+у=-2 и х²-2ху+у²=16
х=-2-у (х-у)²=16
подставим значение х=-2-у во второе уравнение:
(-2-у-у)²=16
(-2-2у)²=16 уравнение разбиваем на 2 уравнения:
-2-2у=4 -2-2у=-4
-2у=6 -2у=-2
у=-3 у=1
при у1=-3 х1=-2+3=1
при у2=1 х2=-2-1=-3
Ответ:(2;-3); (-3;1)
х=-2-у (х-у)²=16
подставим значение х=-2-у во второе уравнение:
(-2-у-у)²=16
(-2-2у)²=16 уравнение разбиваем на 2 уравнения:
-2-2у=4 -2-2у=-4
-2у=6 -2у=-2
у=-3 у=1
при у1=-3 х1=-2+3=1
при у2=1 х2=-2-1=-3
Ответ:(2;-3); (-3;1)
Вас заинтересует
2 года назад
2 года назад
2 года назад
2 года назад
7 лет назад
7 лет назад
9 лет назад