• Предмет: Математика
  • Автор: Surish
  • Вопрос задан 3 года назад

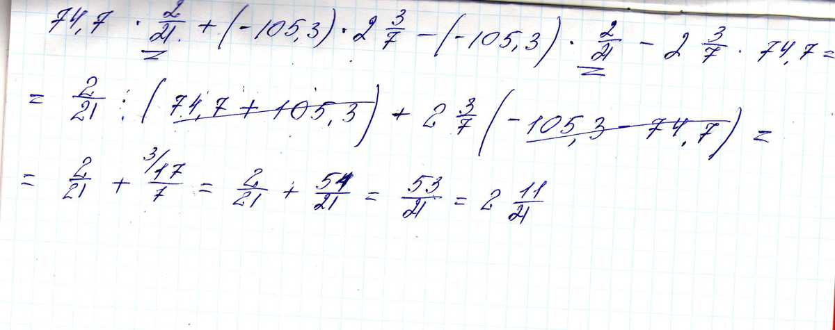
Решите удобным способом:
74,7*2/21+(-105,3)*2целых3/7-(-105,3)*2/21-2целых3/7*74,7=

Помогите пожалуйста


настастья: в ответе 2 целых 11\21
Surish: не знаю можете полную решению добавить
настастья: сейчас как я думаю

Ответы

Ответ дал: настастья
5
посмотри , там можно и по другому
Приложения:
Вас заинтересует