Ответы
Ответ дал:
0
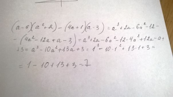
Сначала упростим выражение, а потом подставим в него значение а=1.
Приложения:

Ответ дал:
0
(a-6)(a^2+2)-(4a+1)(a-3) ;
2a^2-2a-6a^2-12-4a^2+a-3;
8a^2+a-15=8-15=-7.
Вас заинтересует
2 года назад
2 года назад
7 лет назад
7 лет назад
9 лет назад