Решите задачу:
а)На одно платье и три сарафана пошло 9м ткани, а на три таких же платья и пять таких же сарафанов-19м ткани. Сколько ткани требуется на одно платье и сколько на один сарафан?
Ответы
Ответ дал:
2
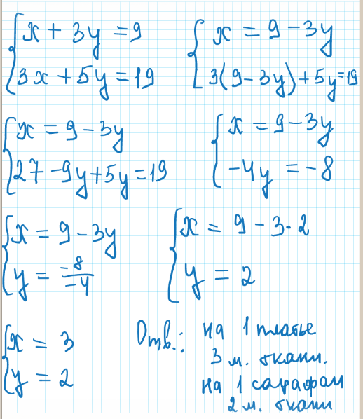
C помощью системы уравнения решила
Приложения:
Ответ дал:
1
Пусть х(м) ткани ушло на одно платье
у(м) ткани ушло на один сарафан,
зная, что на одно платье и три сарафана ушло 9м ткани , составим первое уравнение системы: х+3у=9
зная, что на три платья и пять таких же сарафанов ушло 19 м ткани составим второе уравнение системы: 3х+5у=19
СОСТАВИМ СИСТЕМУ:
х+3у=9,
3х+5у=19 умножим первое уравнение системы на)-3) , получим:-3х-9у=-27
-3х-9у=-27,
3х+5у=19
Сложим первое уравнение со вторым: -4у=-8,у=-8:(-4),у=2
подставим у=2 в уравнение: х+3у=9, х+3*2=9,х+6=9,х=9-6,х=3
х=3(м)-ушло на одно платье,
у=2(м)-ушло на один сарафан.
Ответ: 3м, 2м.
у(м) ткани ушло на один сарафан,
зная, что на одно платье и три сарафана ушло 9м ткани , составим первое уравнение системы: х+3у=9
зная, что на три платья и пять таких же сарафанов ушло 19 м ткани составим второе уравнение системы: 3х+5у=19
СОСТАВИМ СИСТЕМУ:
х+3у=9,
3х+5у=19 умножим первое уравнение системы на)-3) , получим:-3х-9у=-27
-3х-9у=-27,
3х+5у=19
Сложим первое уравнение со вторым: -4у=-8,у=-8:(-4),у=2
подставим у=2 в уравнение: х+3у=9, х+3*2=9,х+6=9,х=9-6,х=3
х=3(м)-ушло на одно платье,
у=2(м)-ушло на один сарафан.
Ответ: 3м, 2м.
Вас заинтересует
2 года назад
2 года назад
2 года назад
7 лет назад
7 лет назад
9 лет назад
9 лет назад