• Предмет: Алгебра
  • Автор: lada45
  • Вопрос задан 11 лет назад

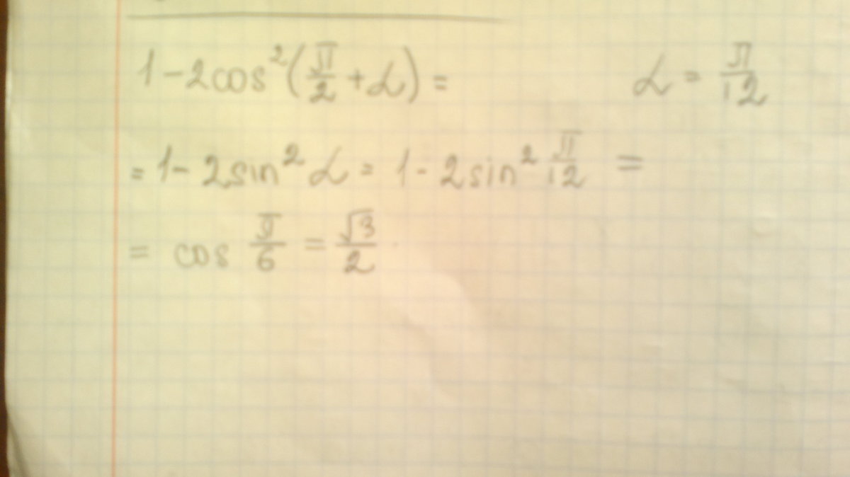
1-2cos^2(pi/2+a) при a=pi/12

Ответы

Ответ дал: Elena071270
0

Вот посмотри , применила формулу и всё))

Приложения:
Ответ дал: Nebidlo
0

1-2sin^2a=1-2sin^2(p/12)=sin^2(p/12)+cos^2(p/12)-2sin^2(p/12)=cos^2(p/12)-sin^2(p/12=cosp/6=sqrt3/2

Приложения:
Вас заинтересует