• Предмет: Математика
  • Автор: Vaspiom
  • Вопрос задан 11 лет назад

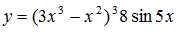
Найти производные от функций:

Помагите плиз! уравнение на картинке.

Приложения:

Ответы

Ответ дал: nelle987
0

y'=8((3x^3-x^2)^3)'sin5x+8(sin5x)'(3x^3-x^2)^3

 y'=8cdot3(3x^3-x^2)^2cdot(3x^3-x^2)'+40cos5xcdot(3x^3-x^2)^3

y'=8cdot3(3x^3-x^2)^2cdot(9x^2-2x)+40cos5xcdot(3x^3-x^2)^3

Вас заинтересует