• Предмет: Алгебра
  • Автор: Ученица2801
  • Вопрос задан 2 года назад

______________________________________

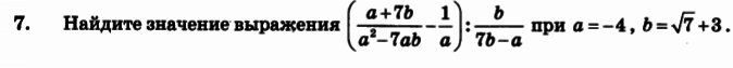
Приложения:

Ответы

Ответ дал: belochka88
1
смотри............................
Приложения:
Вас заинтересует