• Предмет: Алгебра
  • Автор: Дарина0898
  • Вопрос задан 11 лет назад

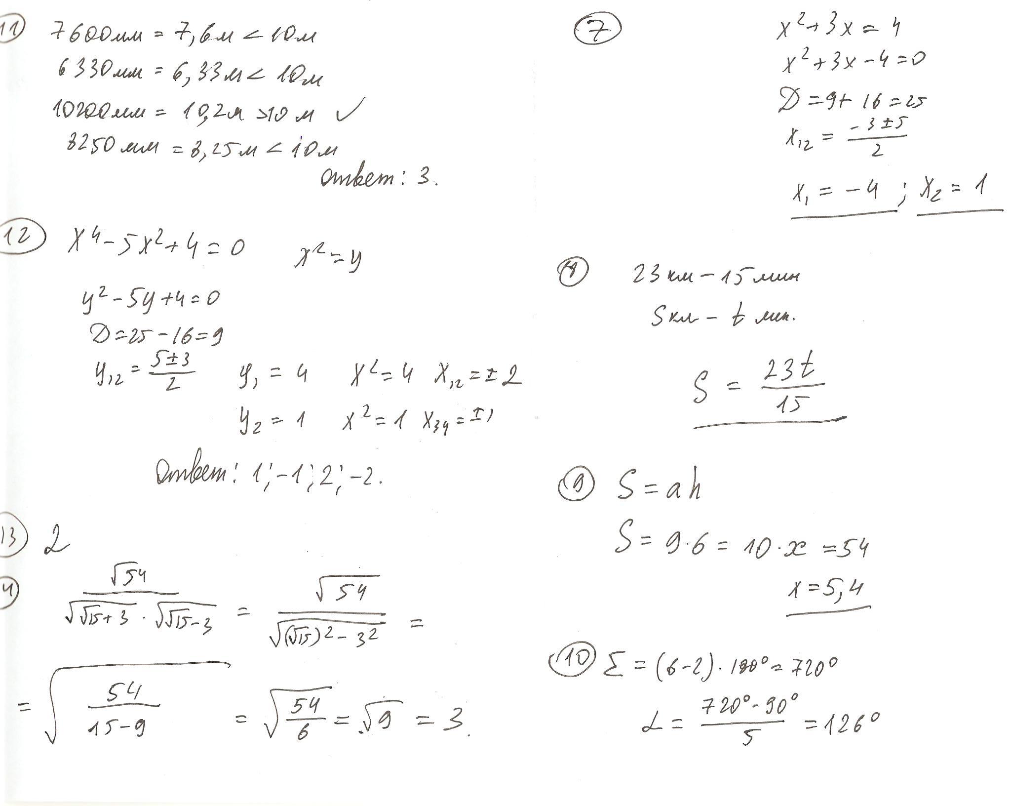
Артём пункты и за прошлое задание! Помоги плиз с этим!)

Приложения:

Ответы

Ответ дал: Artem112
0

надеюсь будет понятно...

Приложения:
Ответ дал: Аноним
0

1) 14

2) не возможно увидеть деления (нужен более точкй рисунок)

3) 57,6

4) точка M

5) 7^(-15)/7^(-13)=7^(-2)=1/49

 

6) типичная задачка на т. пифагора

с^2=b^2+a^2

c=√1000000=1000 метров

 

7) x^2+3x-4=0

D=9+4*4=9+16=25>0

x=(-3+5)/2=1

x=(-3-5)/2=-4

 

8) S=vt

S=23t (по условию)

 

 

Приложения:
Вас заинтересует