Ответы
Ответ дал:
1
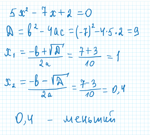
5х²-7х+2=0
D= (-7)²-4*5*2= 49-40=9
D>0, 2 корня
х1= -(-7)+√9 / 2*5= 7+3/10= 10/10= 1
х2= -(-7)-√9/2*5= 7-3/10= 4/10= 0,4
Ответ: 0,4
D= (-7)²-4*5*2= 49-40=9
D>0, 2 корня
х1= -(-7)+√9 / 2*5= 7+3/10= 10/10= 1
х2= -(-7)-√9/2*5= 7-3/10= 4/10= 0,4
Ответ: 0,4
Ответ дал:
0
Решите уравнение. В ответе укажите меньший из его корней.
Приложения:
Вас заинтересует
2 года назад
2 года назад
2 года назад
2 года назад
7 лет назад
7 лет назад
9 лет назад