Ответы
Ответ дал:
10
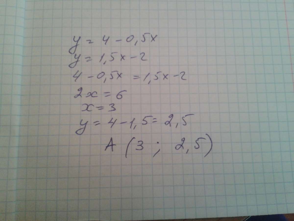
для нахождения точек пересечения нужно приравнять правые части
4 - 0,5х = 1,5х - 2
-0,5х - 1,5х = - 2 - 4
-2х = -6
х = 3
подставим х в любую из данных функций и найдем у
у = 4 - 0,5 * 3 = 4 - 1,5 = 2,5
Точка пересечения имеет координаты (3; 2,5)
4 - 0,5х = 1,5х - 2
-0,5х - 1,5х = - 2 - 4
-2х = -6
х = 3
подставим х в любую из данных функций и найдем у
у = 4 - 0,5 * 3 = 4 - 1,5 = 2,5
Точка пересечения имеет координаты (3; 2,5)
Ответ дал:
2
смотри решение в приложении
Приложения:
Вас заинтересует
2 года назад
2 года назад
2 года назад
7 лет назад
7 лет назад
9 лет назад