• Предмет: Алгебра
  • Автор: ivleva2000
  • Вопрос задан 3 года назад

Все на рисунке. Нужно распределить, одно лишнее



Помогите

Приложения:

Ответы

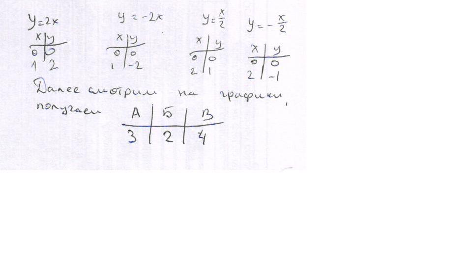
Ответ дал: ewgenijbark
1
см. вложение
============
Приложения:
Вас заинтересует