Здравствуйте.
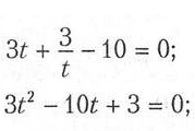
Объясните пожалуйста, каким образом получилось из первого уравнения второе?
Спасибо!
Приложения:

Ответы
Ответ дал:
1
Первое уравнение домножили на t
Ответ дал:
2
смотри объяснение в приложении
Приложения:

ADSKIQ:
Нужна твоя помощь!
Вас заинтересует
2 года назад
2 года назад
7 лет назад