• Предмет: Алгебра
  • Автор: mkostyshina
  • Вопрос задан 3 года назад

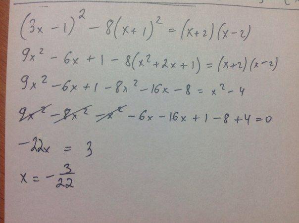
Решите уравнение. (^2- во второй степени)
(3х-1)^2-8(х+1)^2=(х+2)(х-2)
Помогите, пожалуйста. не сходится с ответом

Ответы

Ответ дал: TheShiget0
2
Решение находится на фото: 
Приложения:

mkostyshina: А где фото?)
TheShiget0: Обнови
mkostyshina: Спасибо огромное)
Ответ дал: Тимурктл
1
13/22 будет ответ. сначала скобки открой. х^2 сократится и останется 22х=13
Вас заинтересует