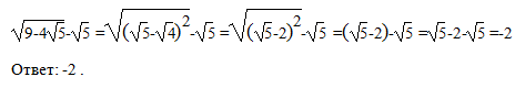
9-4под корнем5,все это под корнем,минус 5под корнем.найти значение
Пожалуйста, с очень подробным объяснением, что и как
Очень нужно
Приложения:

sangers1959:
Под корнем(9-корень из 5)-корень из 5= правильно я записал условие?
Ответы
Ответ дал:
12
*******************************
Приложения:

тоже подробное(очень)
Вас заинтересует
2 года назад
2 года назад
2 года назад
2 года назад
7 лет назад
8 лет назад