• Предмет: Математика
  • Автор: Mary0Jane
  • Вопрос задан 3 года назад

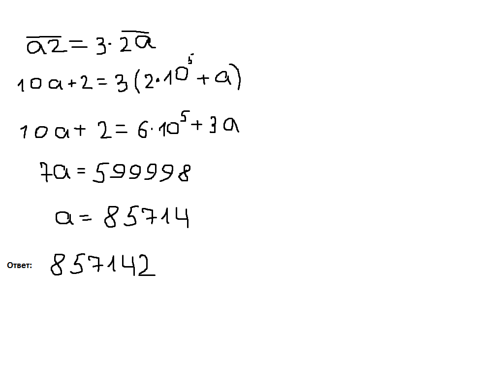
СРОЧНО! ОЧЕНЬ, ОЧЕНЬ 1.шестизначное число оканчивается цифрой 2, если цифру 2 переставит в начало числа, то получится число в 3 раза меньше
перваночального. Найдите первоначальное число. 2. двое рабочих выполнили заказ за 9 дней, работая посредно. Сколько дней работал каждый если известно, что первый рабочий работая один может выполнить заказ за 6 дней, а второй за 15


Mary0Jane: ток спомощью уравнений
kostet1998: что значит посредно?
Mary0Jane: поочередно

Ответы

Ответ дал: kostet1998
2
================================
Приложения:
Вас заинтересует