Ответы
Ответ дал:
1
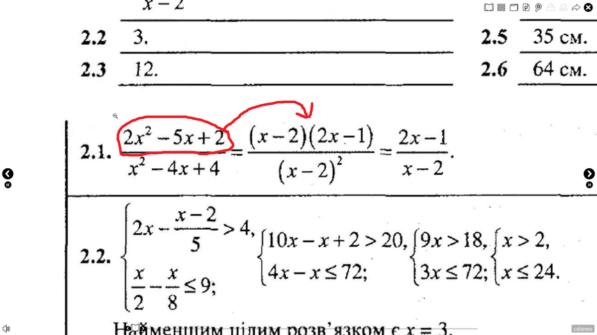
Для этого нужно решить это квадратное уравнение, то есть найти корни:

тогда получается, что корни для сворачивания равны:
2 и 1/2
Формула для сворачивания: (x-x1)(x-x2)
Подставляя корни получаем
(x-2)(x-1/2) = (x-2)((2x-1)/2)
p.s Там двойка ушла в знаменатель
тогда получается, что корни для сворачивания равны:
2 и 1/2
Формула для сворачивания: (x-x1)(x-x2)
Подставляя корни получаем
(x-2)(x-1/2) = (x-2)((2x-1)/2)
p.s Там двойка ушла в знаменатель
и еще внизу почему 3 если не сложно
какая тройка?
в следующем задании
выходит 3
почему
Простые дроби, чего тут непонятного то? :D
все понял
Вас заинтересует
2 года назад
2 года назад
2 года назад
2 года назад
7 лет назад
7 лет назад
9 лет назад