• Предмет: Алгебра
  • Автор: професариат
  • Вопрос задан 3 года назад

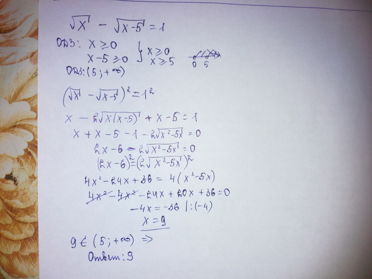
x(под корнем) - x-5(под корнем) = 1

Ответы

Ответ дал: annyshka989
1
Ответ во вложении, фотография 
Приложения:

професариат: Спасибо огромное
Вас заинтересует