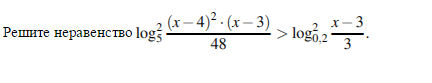
Помогите разобраться в решении логарифмического неравенства. Желательно поподробнее.
Приложения:
EmiliedeRavin:
какие
функции рассмотреть в левой и правых частях. Посмотреть, что будет с их монотонностью
сейчас дорешаю для начала
а зачем это нужно в данном случае?
сейчас дорешаю и рассмотрю применимость метода
Мне нужно простое решение и эффективное.
в целом оно очень простое
но мне что-то не очень понравилось
сейчас пересмотрю способ
Похоже я зря выбрал такое неравенство(
Ответы
Ответ дал:
1
ОДЗ:

Значит, х>3

(x-4)²≥0 при любом х
значит, х >3 и х≠4
Итак (3;4)U(4;+∞)
Преобразуем

Но при возведении в квадрат, знак минус исчезает и

Переносим все влево и раскладываем на множители

На ОДЗ данное неравенство равносильно совокупности двух систем


или


В силу возрастания логарифмической функции с основанием 5 и учитывая, что

решаем следующие две системы

или
учитывая, ОДЗ : (х-3)/3 >0

Первое даст х²-8х>0 и ответ первого неравенства первой системы (-∞;0)U(8;+∞)
Второе ( можно извлечь корень и слева и справа) получим неравенство с модулем, с учетом ОДЗ модули можно опустить, тогда неравенство приведет к простому квадратному х²-7х>0 и ясно, что решение первой систеы - решение первого неравенства, которое опять с учетом ОДз дает промежуток (8; +∞)
Система 2) решается аналогично и приводит

Первое неравенство
х²-8х<0
решение (0;8) с учетом ОДЗ (3;4)U(4;8)
Второе
х²-7х<0
c учетом оДЗ (3;4)U(4;7)
И решение второй системы
(3;4)U(4;7)
Общий ответ
(3;4)U(4;7)U(8;+∞)
Значит, х>3
(x-4)²≥0 при любом х
значит, х >3 и х≠4
Итак (3;4)U(4;+∞)
Преобразуем
Но при возведении в квадрат, знак минус исчезает и
Переносим все влево и раскладываем на множители
На ОДЗ данное неравенство равносильно совокупности двух систем
или
В силу возрастания логарифмической функции с основанием 5 и учитывая, что
решаем следующие две системы
или
учитывая, ОДЗ : (х-3)/3 >0
Первое даст х²-8х>0 и ответ первого неравенства первой системы (-∞;0)U(8;+∞)
Второе ( можно извлечь корень и слева и справа) получим неравенство с модулем, с учетом ОДЗ модули можно опустить, тогда неравенство приведет к простому квадратному х²-7х>0 и ясно, что решение первой систеы - решение первого неравенства, которое опять с учетом ОДз дает промежуток (8; +∞)
Система 2) решается аналогично и приводит
Первое неравенство
х²-8х<0
решение (0;8) с учетом ОДЗ (3;4)U(4;8)
Второе
х²-7х<0
c учетом оДЗ (3;4)U(4;7)
И решение второй системы
(3;4)U(4;7)
Общий ответ
(3;4)U(4;7)U(8;+∞)
я понял ваше решение - оно качественно - жду продолжения )
по ОДЗ для логарифма --- выражение под логарифмом строго больше нуля
а почему х≠4? написано
по ОДЗ для логарифма --- выражение под логарифмом не может быть = 0
а точно понял
последние системы --- логарифмы лучше оставить в одной части неравенства...
и там еще раз получится разложение по формуле разность квадратов)))
Огромное решение получается....
ну да)))
выражения не тривиальные под логарифмом...
Вас заинтересует
2 года назад
2 года назад
2 года назад
2 года назад
9 лет назад
9 лет назад