• Предмет: Алгебра
  • Автор: Аноним
  • Вопрос задан 3 года назад

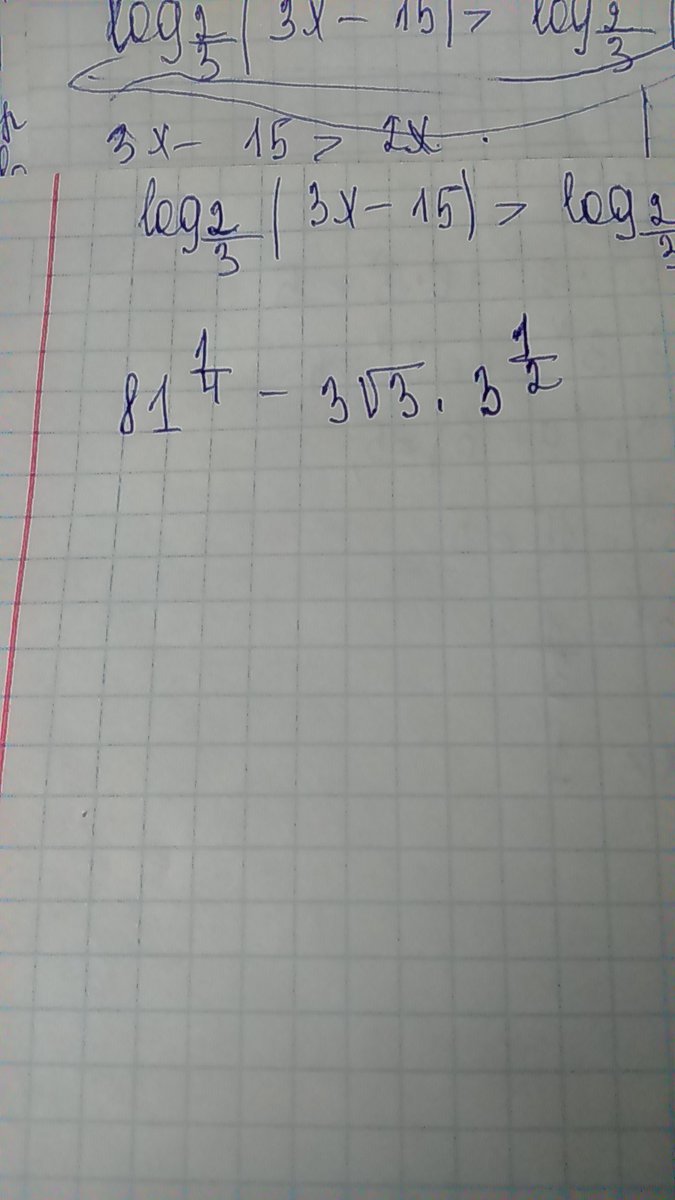
найдите значение выражения, пожалуйста. последняя строчка

Приложения:

Ответы

Ответ дал: inblu
2
81^{ \frac{1}{4}}-3 \sqrt{3}*3^{ \frac{1}{2}}=(3^4)^{ \frac{1}{4}}-3 \sqrt{3}* \sqrt{3}=3^1-3*3= \\ =3-9=-6
Вас заинтересует