• Предмет: Алгебра
  • Автор: katyauuu
  • Вопрос задан 3 года назад

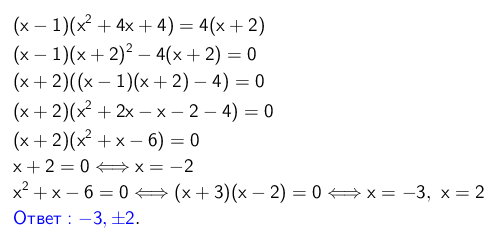
(x-1)(x^2+4x+4)=4(x+2)

Ответы

Ответ дал: SkyBy
2
Смотрите решение в прикреплённом файле.
Приложения:
Вас заинтересует