• Предмет: Математика
  • Автор: maly6ka
  • Вопрос задан 2 года назад

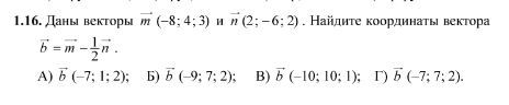
найти координаты вектора

Приложения:

Ответы

Ответ дал: Аноним
0
m(-3;4;3)
-1/2n(-1;3;-1)
b(-9;7;2)        Б
Вас заинтересует