Ответы
Ответ дал:
1
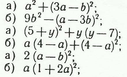
решение смотри на фотографии
Приложения:

Снежочек2:
Спасибо огромное!!!
Вас заинтересует
2 года назад
2 года назад
2 года назад
2 года назад
7 лет назад
7 лет назад
8 лет назад