Ответы
Ответ дал:
0
!!!!!!!!!!!!!!!!!!!!!!!!!!!!!!!
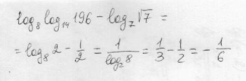
Приложения:

Вас заинтересует
2 года назад
2 года назад
2 года назад
2 года назад
7 лет назад