• Предмет: Математика
  • Автор: gulyabader
  • Вопрос задан 2 года назад

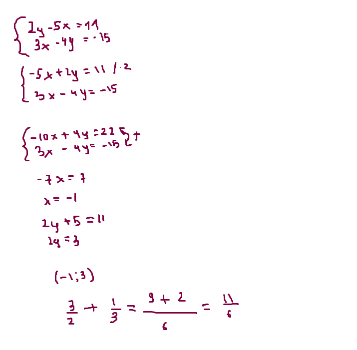
пусть (X,y ) решение системы. 2y - 5x =11 3x -4y =-15. тогда значение y/2 - x/3 равно

Ответы

Ответ дал: Ленгит
0
............................................................
Приложения:

gulyabader: спасибо огромное, вот сама к такому же решению прости шла
Вас заинтересует