• Предмет: Математика
  • Автор: MargaritaAvdeeva
  • Вопрос задан 2 года назад

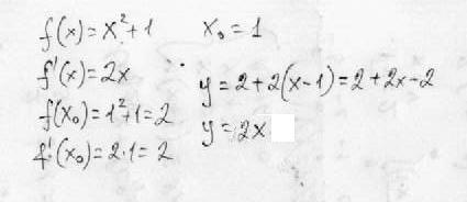
Напишите уравнение касательной к графику функции f(x)=x^2+1, x0=1

Ответы

Ответ дал: математик2011
1
!!!!!!!!!!!!!!!!!!!!!!!!!!!!
Приложения:
Вас заинтересует