• Предмет: Алгебра
  • Автор: trapkova1997
  • Вопрос задан 2 года назад

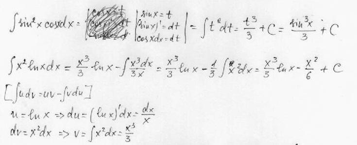
помогите решить)найти неопределенный интеграл
1.∫sin^2xcosxdx
2.∫x^2lnxdx
3.∫sin(9x)sinxdx


МудрыйЕвреюшка: и по частям и заменой

Ответы

Ответ дал: математик2011
0
Третий интеграл может более Мудрый сделает!!!
Приложения:
Вас заинтересует