• Предмет: Математика
  • Автор: utilinaa
  • Вопрос задан 3 года назад

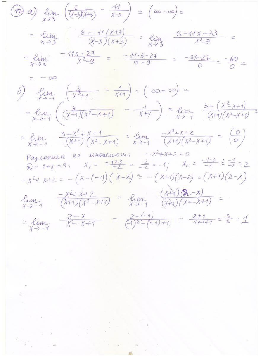
ПОМОГИТЕ, ПОЖАЛУЙСТА. 17 НОМЕР

Приложения:

Ответы

Ответ дал: alfabetta
1
смотри приложенный файл
Приложения:

utilinaa: Спасиииибо большое❤️❤️❤️
Вас заинтересует