• Предмет: Алгебра
  • Автор: котейка6
  • Вопрос задан 2 года назад

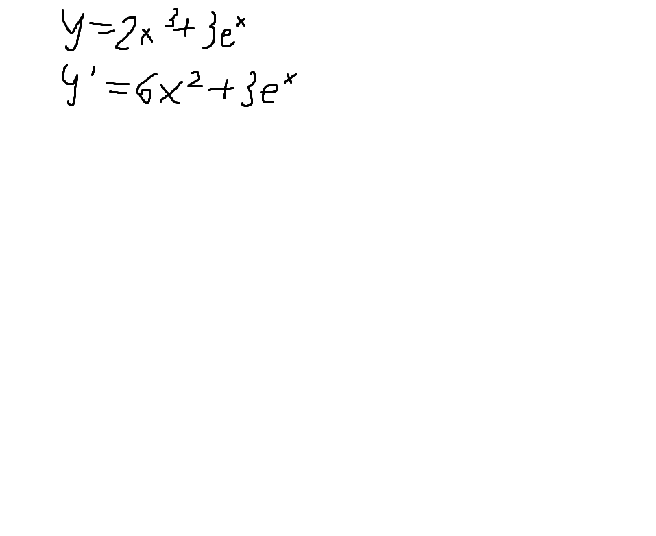
y=2x^3+3e^x найти производную

Ответы

Ответ дал: Artur1897
1
....................................................
Приложения:
Вас заинтересует