• Предмет: Алгебра
  • Автор: Taras678
  • Вопрос задан 3 года назад

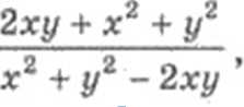
Знайти значення виразу якщо х = 5,5; у = 3,5.

Приложения:

Ответы

Ответ дал: manyny06
2
решение смотри на фотографии
Приложения:

Taras678: http://znanija.com/task/12607192
Taras678: можете и здесь помочь
Taras678: Якого найбільшого значення набуває вираз -6 - (х - 2)^4
Ответ дал: Кротилла
2
Решение Вашего задания на фото:)
Приложения:

Taras678: Якого найбільшого значення набуває вираз -6 - (х - 2)^4
Taras678: можете и здесь помочь
Вас заинтересует