• Предмет: Математика
  • Автор: novor98
  • Вопрос задан 3 года назад

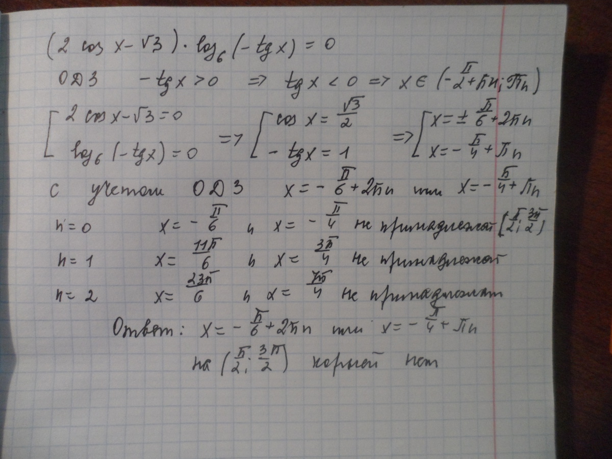
(2 COSX-√3)•log6(-tgx)=0 отобрать корни на отрезке(π/2;3π/2


novor98: Прошу расписать максимально подробно,это пример находил уже на этом сайте,но информации о решении очень мало(((

Ответы

Ответ дал: Аноним
4
Смотреть во вложении
Приложения:
Вас заинтересует