• Предмет: Алгебра
  • Автор: Ольга35
  • Вопрос задан 2 года назад

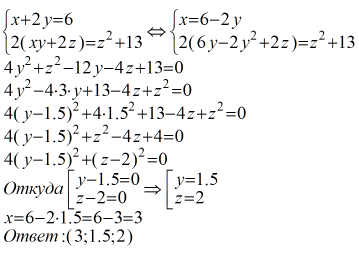
Решите систему уравнений (во вложении)

Приложения:

Ответы

Ответ дал: Аноним
1
Решение смотрите в приложении..
Приложения:
Вас заинтересует