• Предмет: Математика
  • Автор: Tikhonovns10d
  • Вопрос задан 7 лет назад

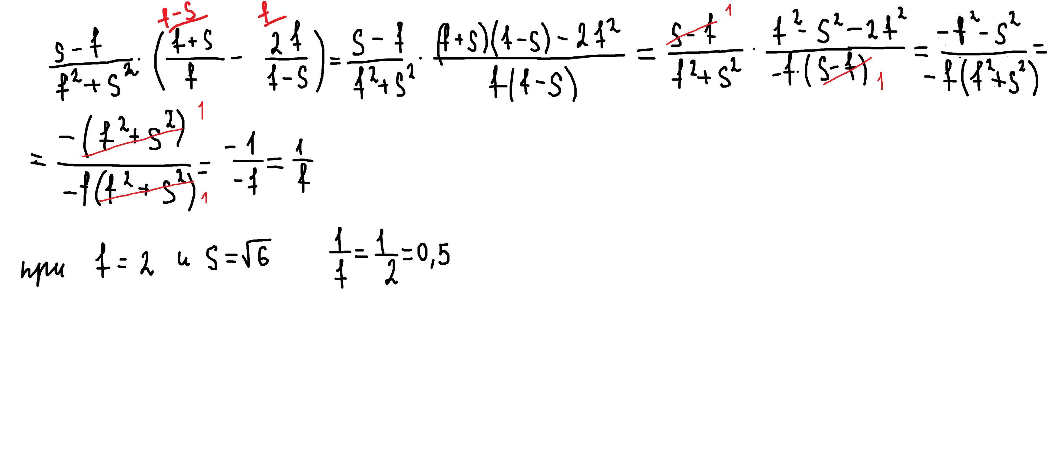
Решите уравнение Пожалуйста

Приложения:

Ответы

Ответ дал: parus77
0

Ответ:

0,5

Пошаговое объяснение:

решение внизу

Приложения:
Вас заинтересует