• Предмет: Алгебра
  • Автор: abduqodirovaziz
  • Вопрос задан 2 года назад

ОСВОБОДИТЕ ЗНАМЕНАТЕЛЬ ОТ ИРРАЦИОНАЛЬНОСТИ
 \frac{2 \sqrt{6} }{ \sqrt{5} + \sqrt{2} - \sqrt{3} }

Ответы

Ответ дал: NNNLLL54
1
...=\frac{2\sqrt6(\sqrt5+\sqrt2+\sqrt3)}{((\sqrt5+\sqrt2)-\sqrt3)(\sqrt5+\sqrt2+\sqrt3)}=\frac{2\sqrt6(\sqrt5+\sqrt2+\sqrt3)}{(\sqrt5+\sqrt2)^2-3}=\frac{2\sqrt6(\sqrt5+\sqrt2+\sqrt3)}{(5+2\sqrt{5\cdot 2}+2)-3}=\\\\=\frac{2\sqrt6(\sqrt5+\sqrt2+\sqrt3)}{4+2\sqrt{5\cdot 2}}=\frac{2\sqrt6(\sqrt5+\sqrt2+\sqrt3)}{2\sqrt2(\sqrt2+\sqrt5)}=\frac{\sqrt{2\cdot 3}(\sqrt5+\sqrt2+\sqrt3)(\sqrt5-\sqrt2)}{\sqrt2(\sqrt2+\sqrt5)(\sqrt5-\sqrt2)}=\\\\=\frac{\sqrt3(\sqrt5+\sqrt2+\sqrt3)(\sqrt5-\sqrt2)}{(5-2)}=

=\frac{\sqrt3((\sqrt5+\sqt2)(\sqrt5-\sqrt2)+\sqrt3(\sqrt5-\sqrt2))}{3}=\frac{\sqrt3((5-2)+\sqrt3(\sqrt5-\sqrt2))}{3}=\\\\=\frac{\sqrt3(3+\sqrt3\sqrt5-\sqrt3\sqrt2)}{3}=\frac{3\sqrt3+3\sqrt5-3\sqrt2}{3}=\frac{3(\sqrt3+\sqrt5-\sqrt2)}{3}=\sqrt3+\sqrt5-\sqrt2
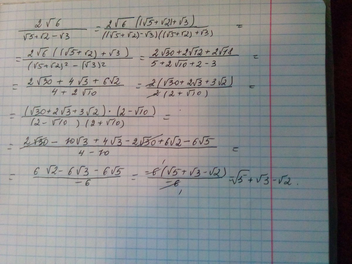
Ответ дал: Аноним
1
Смотреть во вложении
Приложения:
Вас заинтересует