Ответы
Ответ дал:
0
1)
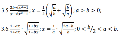
Найдем х²-1

a>b,поэтому


2)



Найдем х²-1
a>b,поэтому
2)
Вас заинтересует
3 года назад
3 года назад
8 лет назад
8 лет назад
10 лет назад
10 лет назад
11 лет назад
11 лет назад