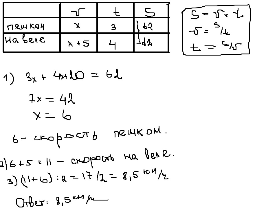
Турист шел 3ч пешком и 4ч ехал на велосипеде. Всего он проделал путь в 62км. Какова средняя скорость туриста, если он шел на 5 км медленнее, чем ехал!
Ответы
Ответ дал:
0
У меня вот что получилось, надеюсь, разберешь :)
Приложения:

Ответ дал:
0
но откуда ты взял 20?
Ответ дал:
0
там получается уравнение 3x+4(x+5)=62
Ответ дал:
0
Ответ-то правильный, или нет ответа ? :D
Вас заинтересует
7 лет назад
10 лет назад
10 лет назад
10 лет назад