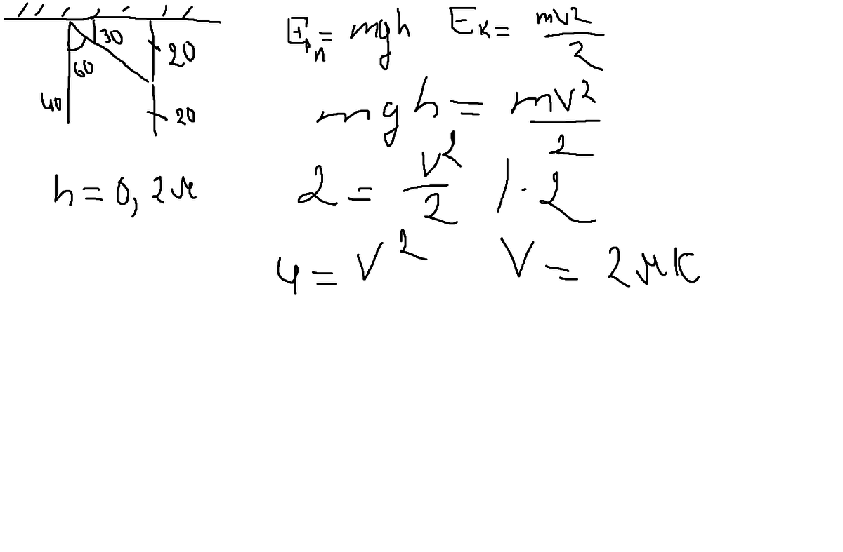
ср4-в4..Небольшой шар совершает колебания на нити длиной 40 см.при максимальной отклонении от положения равновесия нить составляет угол 60 градусов с вертикалью.
1,как изменяются потенциальная и кинетическая энергия шара,когда его отклонения от положения равновесия увеличиваются.
2, с какой скоростью шар проходит положение равновесия?
Ответы
Ответ дал:
0
1 потенциальная энергия возрастет Е=mgh , а кинетическая уменьшится E=mV^2/2
Приложения:

Вас заинтересует
2 года назад
7 лет назад
7 лет назад
10 лет назад
10 лет назад
10 лет назад
10 лет назад