Ответы
Ответ дал:
0
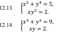
12.13. х²+у⁴=5
ху²=2 | умножим на 2
Сложим все вместе
х²+у⁴+2ху²=5+4
(х+у²)²=9
х+у²=-3 х+у²=3
у²=-3-х у²=3-х
Подставим в ху²=2
х(-3-х)=2 х(3-х)=2
х²+3х+2=0 х²-3х+2=0
D=9-8=1 D=9-8=1
х₁=(-3+1)/2=-1, х₃=(3+1)/2=2,
у₁=√(-3+1) нет корня, у₃=√(3-2)=√1=+-1
х₂=(-3-1)/2=-2, х₄=(3-1)/2=1,
у₂=√(-3+2) нет корня, у₄=√(3-1)=√2≈+-1,4
Ответ: (2; 1), (2; -1), (1; -√2) и (1; √2)
12.14. х³+у³=9
ху=2
х=2/у
8/у³+у³=9
8+у⁶=9у³
у³=а
а²-9а+8=0
D=81-32=49
а₁=(9+7)/2=8, у₁=∛8=2, х₁=2/2=1
а₂=(9-7)/2=1, у₂=∛1=1, х₂=2/1=2
Ответ: (1; 2) и (2; 1)
ху²=2 | умножим на 2
Сложим все вместе
х²+у⁴+2ху²=5+4
(х+у²)²=9
х+у²=-3 х+у²=3
у²=-3-х у²=3-х
Подставим в ху²=2
х(-3-х)=2 х(3-х)=2
х²+3х+2=0 х²-3х+2=0
D=9-8=1 D=9-8=1
х₁=(-3+1)/2=-1, х₃=(3+1)/2=2,
у₁=√(-3+1) нет корня, у₃=√(3-2)=√1=+-1
х₂=(-3-1)/2=-2, х₄=(3-1)/2=1,
у₂=√(-3+2) нет корня, у₄=√(3-1)=√2≈+-1,4
Ответ: (2; 1), (2; -1), (1; -√2) и (1; √2)
12.14. х³+у³=9
ху=2
х=2/у
8/у³+у³=9
8+у⁶=9у³
у³=а
а²-9а+8=0
D=81-32=49
а₁=(9+7)/2=8, у₁=∛8=2, х₁=2/2=1
а₂=(9-7)/2=1, у₂=∛1=1, х₂=2/1=2
Ответ: (1; 2) и (2; 1)
Вас заинтересует
3 года назад
8 лет назад
8 лет назад
10 лет назад
10 лет назад
11 лет назад
11 лет назад