• Предмет: Алгебра
  • Автор: alaaaaaaa
  • Вопрос задан 10 лет назад

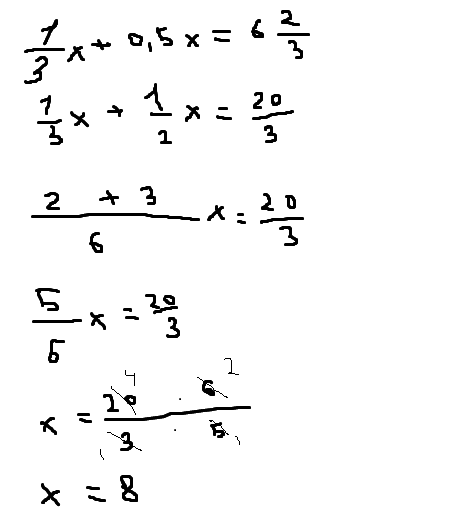
1/3x+0.5x=6 2/3
решите уравнения с решением

Ответы

Ответ дал: Ленгит
0
,,,,,,,,,,,,,,,,,,,,,,,,,,,,,,,,,,,,,,,,,,,,,,,,,,,,
Приложения:
Вас заинтересует