• Предмет: Математика
  • Автор: yuliyavikentev
  • Вопрос задан 10 лет назад

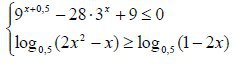
Помогите решить систему неравенств:

Приложения:

Ответы

Ответ дал: kirichekov
0
решение во вложении-------------------------------------
Приложения:
Вас заинтересует