• Предмет: Математика
  • Автор: 3ноеСепарирование
  • Вопрос задан 10 лет назад

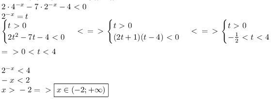
Уравнение - 4^(-x+0,5) - 7*2^-x - 4 < 0

Ответы

Ответ дал: artalex74
0
2 cdot 4^{-x}-7 cdot 2^{-x}-4 textless  0 \ 2^{-x} =t \
begin{cases} t textgreater  0 \2t^2-7t-4 textless  0 end{cases}  textless  = textgreater   begin{cases} t textgreater  0 \(2t+1)(t-4) textless  0 end{cases}  textless  = textgreater   begin{cases} t textgreater  0 \ - frac{1}{2} textless  t textless  4  end{cases} \ \
= textgreater   0 textless  t textless  4 \ \ 2^{-x} textless  4\ -x textless  2\ x textgreater  -2 = textgreater   boxed{x in (-2; + infty)}
Приложения:
Вас заинтересует