• Предмет: Алгебра
  • Автор: masykevich67
  • Вопрос задан 10 лет назад

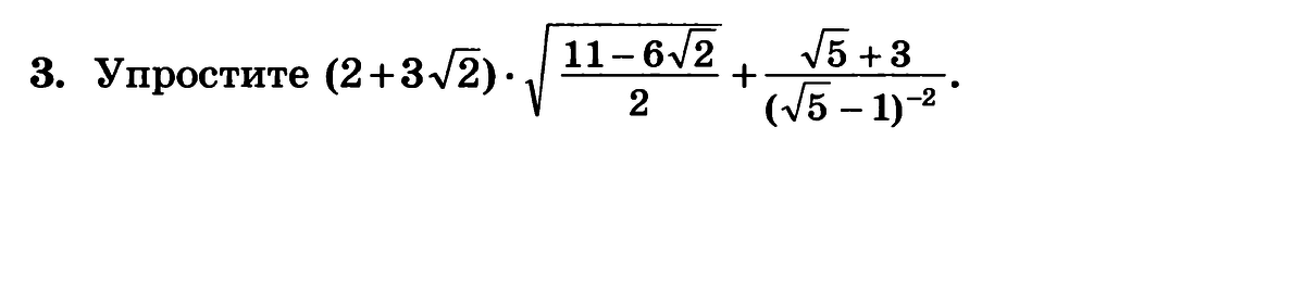
Подскажите решение задания на фото, плиз!!!

Приложения:

Ответы

Ответ дал: Аноним
0
(2+3 sqrt{2})* sqrt{(3- sqrt{2})^2/2 }  +( sqrt{5} +3)*( sqrt{5} -1)^2=(2+3 sqrt{2})*(3- sqrt{2} )/ sqrt{2}  +( sqrt{5} +3)*(6-2 sqrt{5})= (6-2 sqrt{2}+9 sqrt{2} -6)/ sqrt{2}  +6 sqrt{5}-10+18-6 sqrt{5} =7 sqrt{2}/  sqrt{2} +8=  7+8=15
Ответ дал: masykevich67
0
спасибо за решение, но не могли бы Вы мне пояснить как из корня квадратного 11- 6 корней из 2 деленного на два Вы получили корень квадратный из 3-корень квадратный из 2 в квадрате деленное на 2?
Вас заинтересует