Ответы
Ответ дал:
0
для первого уравнения нет решений)))
это хорошо видно на графике...
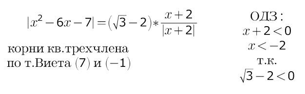
для x<-2 значения функции больше (9),
потому все четыре корня вне ОДЗ
----------------------------------------------------
для второго уравнения рассуждения аналогичные...
модуль не может быть равен отрицательному числу,
потому х должен быть >= (1)
это хорошо видно на графике...
для x<-2 значения функции больше (9),
потому все четыре корня вне ОДЗ
----------------------------------------------------
для второго уравнения рассуждения аналогичные...
модуль не может быть равен отрицательному числу,
потому х должен быть >= (1)
Приложения:
Вас заинтересует
3 года назад
3 года назад
8 лет назад
10 лет назад
10 лет назад
11 лет назад
11 лет назад