• Предмет: Алгебра
  • Автор: RobertBobert
  • Вопрос задан 10 лет назад

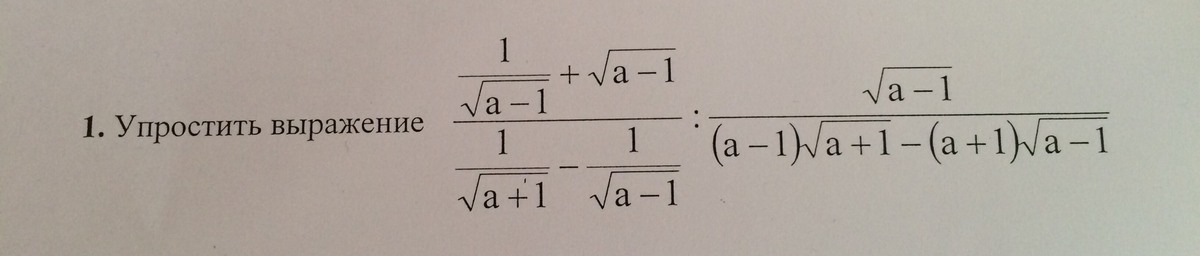
По действием, пожалуйста

Приложения:

Ответы

Ответ дал: ВладимирБ
0
Решение смотри в приложении
Приложения:
Вас заинтересует