Ответы
Ответ дал:
0
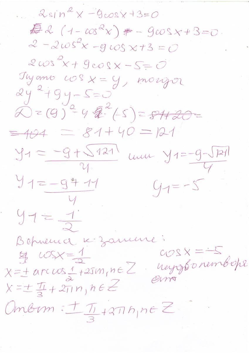
2-2cox^2(x)-9cosx+3=0
2cos^2(X)+9cosx-5=0
2t^2+9t-5=0
d=81+40=121
cosx = (-9+11)/4=1/2
x=+/- п/3 +2пк только одна серия корней, вторая не подошла cosx< или равен |1|
Ответ дал:
0
Вот.Надеюсь, все видно отчетливо.
Приложения:

Вас заинтересует
2 года назад
8 лет назад
10 лет назад