Ответы
Ответ дал:
0
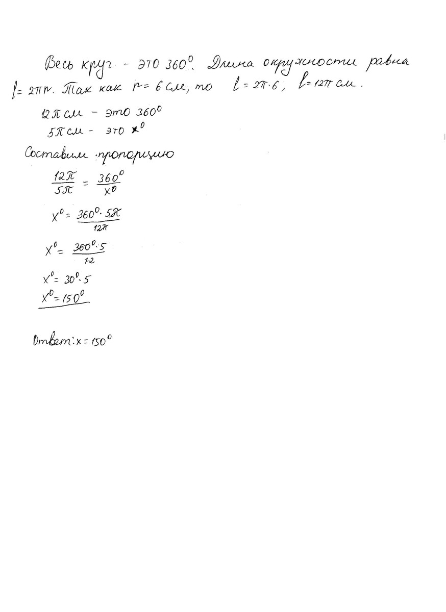
Решение в приложении.
Приложения:
Ответ дал:
0
Длина дуги находится по простой формуле:
L = R*a, где R - радиус круга, а - угол в радианах. pi рад = 180 градусов.
5pi = 6*a
a = 5pi/6 = 5*180/6 = 5*30 = 150 градусов.
L = R*a, где R - радиус круга, а - угол в радианах. pi рад = 180 градусов.
5pi = 6*a
a = 5pi/6 = 5*180/6 = 5*30 = 150 градусов.
Приложения:
Вас заинтересует
3 года назад
3 года назад
8 лет назад
8 лет назад
10 лет назад
10 лет назад
11 лет назад