Ответы
Ответ дал:
0
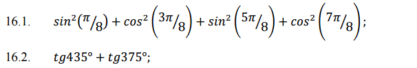
sin² π/8 + cos² 3π/8 + sin² 5π/8 + cos² 7π/8 = sin² π/8 + cos²(4π/8 - π/8) + sin²(4π/8 + π/8) + cos²(8π/8 - π/8) = sin²π/8 + cos²(π/2 - π/8) + sin²(π/2 + π/8) + cos²(π - π/8)=sin² π/8 + sin² π/8 + cos² π/8 + cos² π/8=1+1=2
tg 435 + tg 375= tg (360+75) + tg (360+15)=tg 75 + tg 15=tg (90-15) + tg 15=
ctg 15+ tg15=(1+tg² 15) : tg 15=1/cos² 15 : (sin 15/cos 15)=1 : sin 15*cos 15=2: sin 30=2: 1/2=4
tg 435 + tg 375= tg (360+75) + tg (360+15)=tg 75 + tg 15=tg (90-15) + tg 15=
ctg 15+ tg15=(1+tg² 15) : tg 15=1/cos² 15 : (sin 15/cos 15)=1 : sin 15*cos 15=2: sin 30=2: 1/2=4
Вас заинтересует
3 года назад
8 лет назад
8 лет назад
10 лет назад
10 лет назад
11 лет назад