• Предмет: Геометрия
  • Автор: smirnovar2016
  • Вопрос задан 10 лет назад

решите три задачи по геометрии

Приложения:

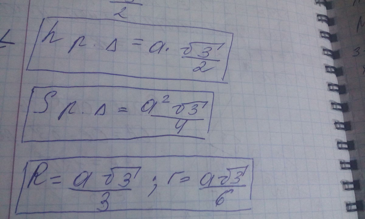
Ответы

Ответ дал: Анастасия19972015
0
,,,,,,,,,,,,,,,,,,,,,,,,,,,,,,,,,,,,,,,,,,,
Приложения:
Ответ дал: smirnovar2016
0
насть можно еще последние три задачи кинуть
Ответ дал: Анастасия19972015
0
кидай
Ответ дал: smirnovar2016
0
они последние я тебя обожаю чтоб я без тебя делала
Ответ дал: Анастасия19972015
0
:))
Вас заинтересует