Ответы
Ответ дал:
0
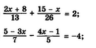
исходные не пишу, приводим к общему знаменателю
4х+16+15-х=52
3х=52-31
х=21:3
х=7
25-15х-28х+7=-140
-43х=-172
х=(-172):(-43)
х=4
4х+16+15-х=52
3х=52-31
х=21:3
х=7
25-15х-28х+7=-140
-43х=-172
х=(-172):(-43)
х=4
Вас заинтересует
2 года назад
2 года назад
8 лет назад
10 лет назад
10 лет назад
11 лет назад